11月18日,AI智能体概念板块涨势喜人。
截至收盘,宣亚国际(300612.SZ)、光云科技(688365.SH)、初灵信息(300250.SZ)、浪潮软件(600756.SH)、视觉中国(000681.SZ)、格尔软件(603232.SH)、华胜天成(600410.SH)等多股涨停,利欧股份(002131.SZ)、新开普(300248.SZ)、诚迈科技(300598.SZ)、创业慧康(300451.SZ)、易点天下(301171.SZ)纷纷跟涨。
AI智能体热潮汹涌
2025年以来,人工智能(AI)发展迅速进入Agent(智能体)时代。
根据普华永道今年5月份的调查,88%的高级管理人员表示,由于AI Agent效果显著,未来一年AI相关预算将增加,66%使用者感受到了明显的生产力提升。
据中国信息通信研究院《人工智能发展报告》预测,至2026年国内企业智能体市场规模将突破1000亿元。另据Omdia报告指出,多智能体协作与交互、情境工程、智能体AI安全及大规模API调用等技术驱动市场增长,将推动中国MaaS收入在2030年达到25亿美元。
11月17日,阿里巴巴正式宣布“千问”项目全力进军AI to C市场,上线千问App公测版。千问App基于全球性能第一的开源模型Qwen3,凭借免费以及与各类生活场景生态的结合,与ChatGPT展开全面竞争。
11月13日消息,小米与腾讯达成合作,共同推进AI智能体生态发展。即日起,开发者在腾讯旗下一站式AI智能体平台完成智能体的创建与调试后,可直接一键发布至小米应用商店。为方便用户使用,小米应用商店已在首页新增“AI智能体专区”。
近日,字节跳动的Seed团队发布了一项名为Lumine的AI智能体研究项目。据悉,Lumine是首个能够在复杂的3D开放世界游戏中,实时感知、推理并执行任务的通用智能体配方。
“2025年以来,代理式AI的进展确实超出许多早期预期,特别是在软件开发助手和客服座席方面。”行业专家表示,目前AI智能体的发展仍存在一定的炒作与泡沫,但整体发展进度还在可控范围。
上市公司加速布局
同花顺数据显示,过去一周,已有多家上市公司新增AI智能体概念。
11月18日,荣联科技新增“AI智能体”概念。AI应用服务方面,公司基于大模型的AI应用服务能力,整合多种大模型技术,提供全面的数字化转型和智能化改造服务,包括数据获取、预处理、特征工程以及基于通用大模型生成专有模型的训练和推理。同时,公司拥有自研的企业级知识库管理与智能应答AI服务平台,通过集成强大的知识库管理系统、智能应答功能以及自动化代码生成等核心模块,为客户提供场景化AI应用开发服务。
11月17日,汉邦高科新增“AI智能体”概念。在智算服务领域,公司密切关注跟踪国内外行业技术发展,在不影响公司正常经营的前提下,为支撑公司开展数字智能业务,在开源技术方案基础上,研发了算力调度管理与运维系统、AI智能体平台、搜索增强系统等系统和应用。
11月13日,中富通新增“AI智能体”概念。公司聚焦“AI+垂直领域”落地,推进多赛道布局。旗下倚天科技与国资设公司,自主研发气象智能体平台,整合多源数据与AI模型,AI赋能气象服务。子公司天创科技研发的AI警务机器人、预见大模型等AI产品,AI赋能警务。旗下平元科技与中资数据设联合实验室,研发AI产品提升采购精准率,助力企业构建高效合规采购体系。此外,公司研发Agent操作系统,实现“一句话构建3D数字空间”,突破传统元宇宙空间制作难题。
11月10日,科华数据新增“AI智能体”概念。公司与希姆计算强强联合,推出DeepSeek加持的全国产算力政务智能体一体机,给政务服务带来了基于DeepSeek大模型的软硬件一体化解决方案,让政务服务变得更加智能。
多只概念股涨势喜人
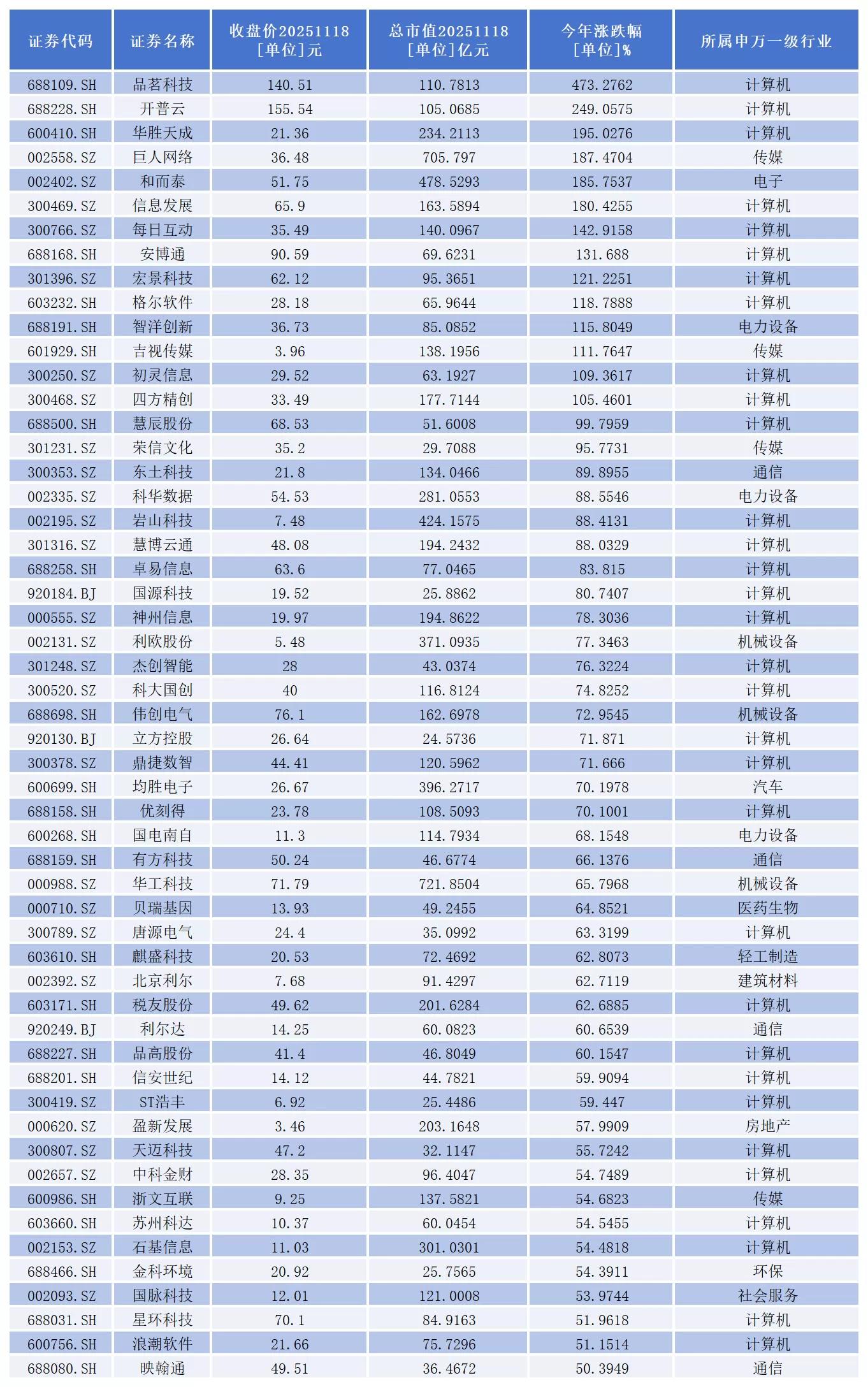
同花顺数据显示,截至11月18日收盘,A股AI智能体一共有344家上市公司。
从二级市场表现看,今年以来,一共有267家公司股价出现上涨,其中,54家公司股价涨幅超过50%。
品茗科技(688109.SH)、开普云(688228.SH)、华胜天成(600410.SH)、巨人网络(002558.SZ)、和而泰(002402.SZ)、信息发展(300469.SZ)、每日互动(300766.SZ)、安博通(688168.SH)、宏景科技(301396.SZ)、格尔软件(603232.SH)、智洋创新(688191.SH)、吉视传媒(601929.SH)、初灵信息(300250.SZ)、四方精创(300468.SZ)14家公司年内股价已经成功实现翻倍。
值得关注的是宝兰德(688058.SH)。近日,以“智跃无界,开源致远”为主题的操作系统大会2025在北京中关村国际创新中心正式举办。
宝兰德与陕西移动联合申报的“AI投诉智策方舟”项目荣获“2025年度openEuler领先商业实践”。该项目依托openEuler系统搭建高效稳定的AI投诉全流程管控平台,实现投诉问答准确率从60%飙升至90%,大幅缩短问题核查时长、提升工单处理效率与分类准确率,显著优化业务响应速度与用户体验,成为运营商AI业务实践的标杆典范。
通过“AI汇智平台”与AI智能体矩阵,宝兰德实现了从底层算力资源调度到上层AI应用的全链路支撑,目前已拥有20+通用智能体和40+行业垂类智能体,覆盖金融、运营商、科研等多个领域。


发布评论
评论